How Compact Visualizations Support Teaching in Higher Education
As academics in higher education, we’re used to dealing with extensive data from exams, coursework, and projects. Often, though, this valuable data ends up in detailed tables and spreadsheets—thorough but sometimes overwhelming. While we rely heavily on this information, its presentation in numeric form can make it challenging to quickly recognize patterns, interpret performance accurately, or take timely action to improve teaching.
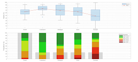
A more effective way to approach assessment results is to visualize the data in compact, meaningful forms. Graphs generated by the iOBE software such as box plots and population plots (see the figure below, plotted against program outcomes) simplify complex information into clear, readable formats, highlighting crucial insights quickly and efficiently.
These visualizations enable educators to quickly identify key patterns and potentially concerning trends in student performance, guiding them in refining and improving their teaching and learning strategies.
Additionally, if the data indicates performance issues arising primarily from student-specific challenges rather than instructional factors, educators can use these insights to provide targeted support, helping students understand their own areas for improvement and encouraging them to proactively engage in enhancing their academic performance.
Why Spreadsheet Tables Can Be Limiting
Most of us have experienced the struggle of sorting through dense spreadsheets. When results are presented only as raw numbers in tables — or reduced to simplistic bar charts that display just a single metric, such as average values — it becomes difficult to grasp the full picture of what’s really happening in our classes. Essential questions may come up but remain tricky to answer clearly:
- How is the overall performance in my course?
- Which learning outcomes are consistently challenging for students?
- Are recent adjustments in teaching methods having any measurable impact?
Answering these questions is considerably easier when the data is presented visually, compact with rich information, allowing quick identification of meaningful trends.
The Power of Visual Summaries
Compact visualizations, like box plots and population distribution graphs, help educators to rapidly understand and interpret data:
- Box plots instantly reveal performance ranges, median values, and variability, highlighting strengths and areas needing attention at a glance.
- Population plots clearly illustrate how each student's achievement compares to the entire class, making it easier to provide targeted support or adjustments.
Such visuals not only enhance individual reflection but also facilitate productive conversations among colleagues and with students themselves.
Effective Across Different Academic Scales
One notable strength of visualizing assessment data is the flexibility it provides across different academic scales:
- Program-level: Visual summaries help coordinators identify long-term trends and achievement patterns, crucial for program reviews, curriculum adjustments, and accreditation.
- Course-group level: A group of lecturers who manage multiple related courses can collectively analyze outcomes, spot common difficulties, and align their teaching practices.
- Single course-level: Individual lecturers gain clearer insights into their semester results, facilitating more precise and timely teaching interventions.
- Micro-level (tests and assignments): Visuals are even useful at the smallest scale, clarifying student responses to particular tests (see the graphs below, plotted against Problem-solving Steps) or assignments, thereby directly informing teaching strategies.
This scalability supports reflective and evidence-based teaching practices, enabling lecturers to continuously refine their approaches.
Driving Better Conversations Through Clearer Data
Ultimately, the greatest value of presenting assessment data visually is its capacity to spark meaningful, practical conversations. With clearer data, educators can quickly pinpoint issues, discuss strategies, and adjust their teaching effectively. Students also benefit from visual clarity—understanding their performance in a broader context empowers them to actively participate in improving their learning.
When we move beyond traditional numeric tables toward concise visual representations, we strengthen the connection between data-driven insights and practical teaching strategies—benefiting educators and learners alike.


No comments:
Post a Comment